Page Title Here >
Navigation Bar Placeholder
OUR SPORTS TEAM
       The Cosmos' Masterpeace System Structures           
(Places Where Masterpeace Services Are Organized/Despensed & Maintained)


Presents
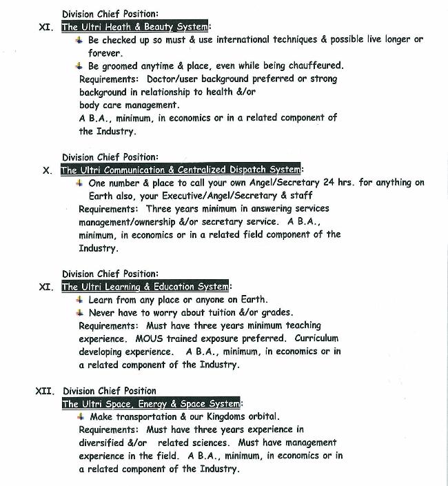
operating in that position...A B.A...minimum in economic or a
related component of the industry
 operating in that position..A B.A...minmum in economic or a
 related component of the industry